Taken from the Kiting forums. I don't know if this affects the Scarbs sailors as I haven't sailed up that way but windsurfers are classed "high risk" beach users and will be subject to the same exclusions.
Figured it was worth mentioning.
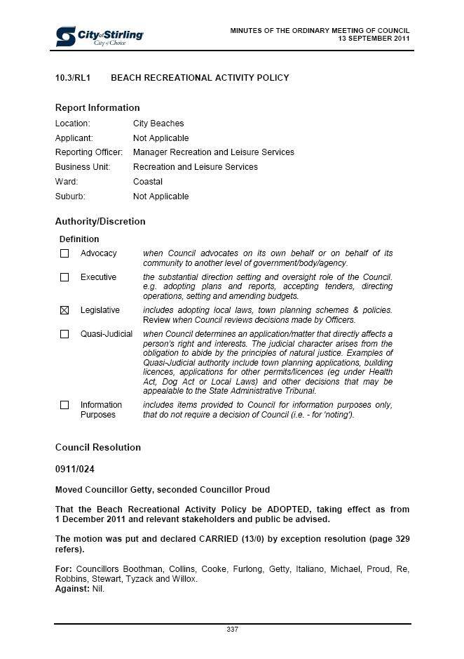
ueberqwerty said...It sppears that the City of Stirling is copying The City of Joondalup with their
"Beach Recreational Activity Policy"

They eying to impose restrictions on kitesurfing (and others) for their beaches. If they go ahead, restrictions are anticipated to be implemented on 1/12/2011. Have a look at:
www.inmycommunity.com.au/http://www.stirling.wa.gov.au/NR/rdonlyres/103FC67C-D0B0-4609-8526-66BCC836BBCD/0/CouncilMinutes13September2011.pdfpage 337 onwards and policy, page 342 and 343.
Exclusion Zones:
1) North of Colin St drain to Reserve St
2) Starting on south end of car park 3 going to south of Trigg boat ramp
Kind off kills the City Beach to Trigg downwinder and makes us get off at crowded Brighton
