Back to top
Beta
Weather
Weather
Recent
Search for a location
Western Australia
Metro
South West
Central West
North West
Surf Cameras
Safety Bay Camera
New South Wales
Metro
North
Mid North
Illawarra
South Coast
Victoria
Metro
West Coast
East Coast
South Australia
Queensland
Brisbane
Far North
Central Coast
Sunshine Coast
Gold Coast
Northern Territory
Tasmania
Hobart
West Coast
North Coast
East Coast
My Favourites
Reverse Arrows
Buy & Sell
Buy & Sell
Gallery
Gallery
Forums
Forums
All
Windsurfing
General
Gps & Speed Sailing
Wave Sailing
Foiling
Gear Reviews
Lost & Found
Windsurfing WA
Windsurfing NSW
Windsurfing QLD
Windsurfing Victoria
Windsurfing SA
Windsurfing Tasmania
Kitesurfing
General
Gear Reviews
Foiling
Newbies / Tips & Tricks
Lost & Found
Western Australia
New South Wales
Queensland
Victoria
South Australia
Tasmania
Surfing
Longboarding
Stand Up Paddle
General
Foiling
Board Talk & Reviews
Wing Foiling
Wing Foiling
Sailing
Active Topics
Subscribed Topics
Rules & Guidelines
Join
Join
Login
Lost My Details!
Join! (Its Free)
Enable JavaScript
to get the best experience.
Gallery
Windsurfing
« Previous
Next »
More like this
★
bigwavepoopypants
curac
★
20161215 200930
remery
★
swansea windsurf
clarence
★
Windsurfing
Flouro1
★
speed records kite
rappL
★
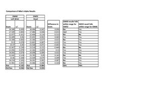
Comparison of Mike's Alpha Results
John340
★
Comparison of Mike's 2 Sec Results
John340
★
AHD 267
smp
★
watch on head alpha
decrepit
★
GW52 alpha 16-12
decrepit
★
Handicap Results - Heat 3
jamesf
★
Freerace Results - Heat 3
jamesf
gav1
Profile
|
Uploads
|
Watching
Details
State: QLD
Shared on 10/5/2021
Return To Classic site